La experiencia 2025 fue traumática para la pesca. La temporada de aguas nacionales para la flota congeladora tangonera inició los primeros días de agosto. Más de un centenar de barcos estuvieron meses amarrados a puerto sin salir a pescar por la extensión del conflicto con el SOMU.
Miles de trabajadores sintieron el golpe de la extensa inactividad en sus propios bolsillos, fue la temporada que menos ganaron porque trabajaron apenas tres meses; los que pudieron embarcar. Los marineros ‘relevos’ se llevaron la peor parte, la mayoría no alcanzó a realizar ni siquiera una sola marea.
Preservar la actividad y los miles de empleos que de ella dependen es el objetivo que hoy afronta el sector langostinero congelador. No hay tiempo para dilaciones, sino que la coyuntura exige la madurez de las partes para sentarse a dialogar y construir consensos, dejando de lado, viejas e inútiles antinomias con posturas intransigentes, las cuales provocaron las consecuencias del extenso conflicto de 2025.
PROPUESTA SOBRE LA MESA
En forma conjunta las cámaras signatarias de los Convenios Colectivos de Trabajo de la actividad elevaron al Ministerio de Capital Humano, de quien depende la Secretaría de Trabajo, Empleo y Seguridad Social, la propuesta concreta que ya le transmitieron a la comisión directiva del SOMU.
La Cámara Argentina Patagónica de Industrias Pesqueras (CAPIP), la Cámara de Armadores Pesqueros y Congeladores de la Argentina (CAPeCA) y el Consejo de Empresas Pesqueras de Argentina (CEPA) elevaron para conocimiento de la autoridad laboral nacional la propuesta de un Acuerdo Salarial Marco, para el desarrollo de la pesca langostino bajo la modalidad de congelado, con buques tangoneros. La misma se formalizó en tres encuentros realizados bajo la modalidad virtual, desarrollados a partir de mediados del mes de enero del año en curso, con participación de todas las cámaras y los miembros del sindicato.
“Considerando las condiciones macro y micro económicas de la actividad pesquera, y la crisis por la que atraviesa el sector, se han esgrimido condiciones que permitan asegurar la sostenibilidad de la actividad y las fuentes de trabajo que genera; buscando garantizar un clima de paz social”, plantean las cámaras como premisa.
SIN ACUERDO NO SALEN LOS BARCOS
Entre los fundamentos expuestos en la propuesta señalan que “la industria langostinera es eminentemente exportadora y como tal, se encuentra sometida a los vaivenes de la economía mundial, como a la competencia de producciones similares de terceros países, y a la natural puja internacional de precios que ello acarrea, y por tal motivo esto obliga a buscar variantes en la estructura de costos para mantener la competitividad”, detallaron.
“Se ha propuesto arribar a un acuerdo de aplicación a todo el personal de marinería y maestranza, representado por el SOMU, que trabaja a bordo de buques pesqueros congeladores con procesamiento a bordo, dedicados a la pesca de langostino con tangones, de pabellón nacional, con puerto de operaciones en todo el ámbito nacional”, mencionan.
La propuesta salarial marco, se incorporaría a los respectivos Convenios; “y solo un Acuerdo con el alcance indicado, autorizaría la salida de la flota a tareas de pesca; puesto que de otro modo la actividad sería altamente deficitaria e inconveniente”, advierten las empresas.
SUELDO POR PRODUCCIÓN
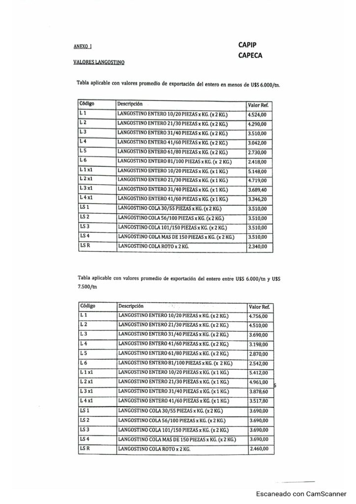
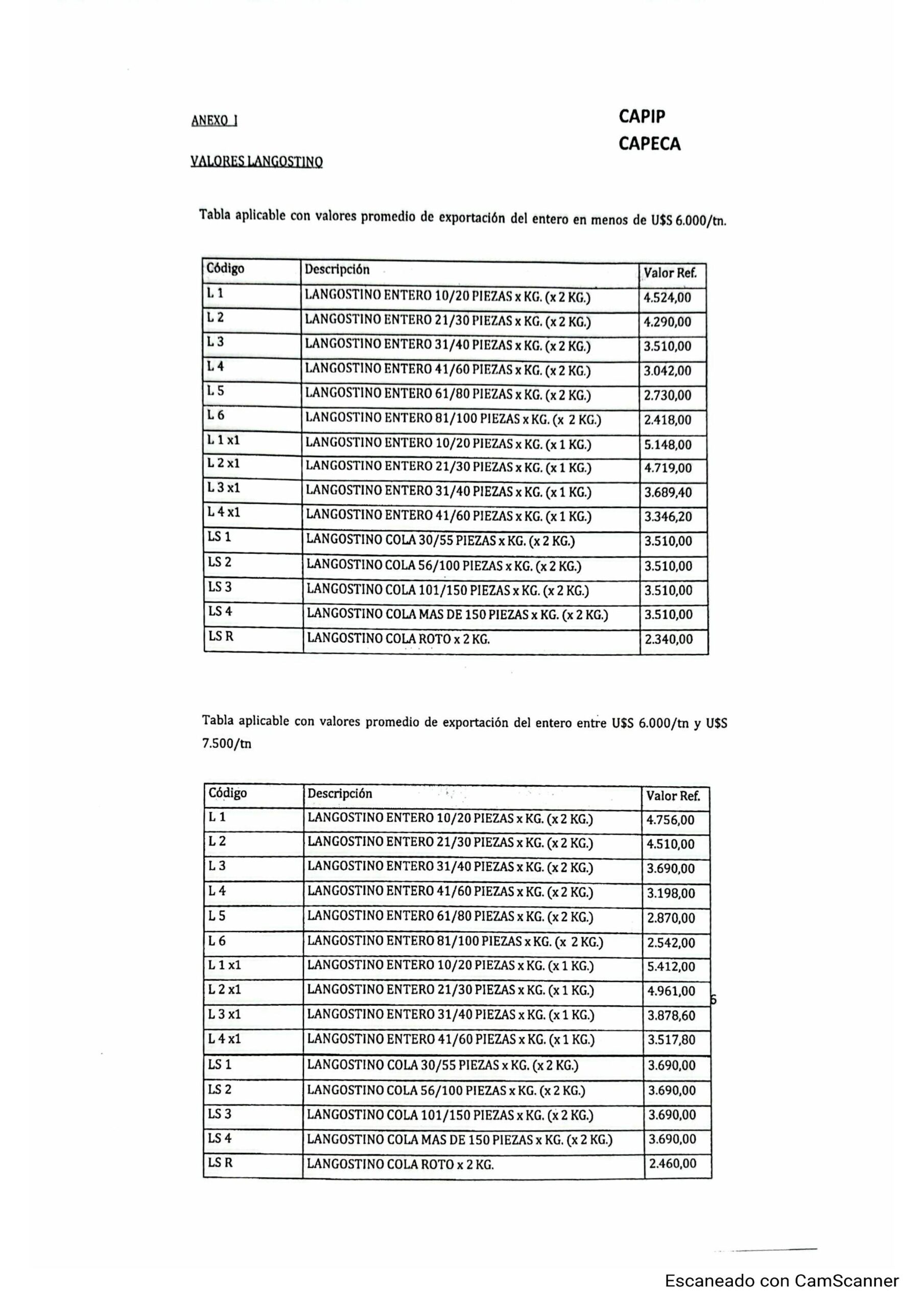
En el contexto indicado el “sueldo proporcional por producción” en los buques congeladores langostineros “se liquidará en función del tonelaje neto de langostino congelado descargado, sin incluir el peso de los envases ni del agua, multiplicado por los valores que, por tonelada de producto, y conforme su tamaño y procesamiento a bordo se asignan en el ANEXO I, que se adjunta”. “El valor resultante será multiplicado por el porcentual del dólar vigente en cada Convenio Colectivo, aplicable sobre la cotización tipo comprador del dólar estadounidense billete fijado por el Banco Nación Argentina del día de la efectiva descarga, y el porcentual de participación de cada categoría”, dice la propuesta.
“Los valores de producto que surgen del Anexo I, guardan relación, en su aplicación, con los valores de comercialización en el mercado internacional, y que surgen del promedio de las operaciones de exportación del entero, según los datos que otorga la Dirección Nacional de Aduana”, describen al tiempo de señalar que “para la aplicación de las distintas bandas mencionadas, se tendrá en cuenta el promedio trimestral de venta vigente al tiempo de la liquidación”.
REVISIÓN TRIMESTRAL
Las partes se comprometen a establecer previo al inicio de la temporada de pesca el valor vigente a dicho momento, y será revisado como mínimo, cada tres meses, a los efectos de detectar posibles variaciones que hagan que el precio acordado de producción sea modificado.
“Lo expresado garantiza, que las fluctuaciones de los precios internacionales guardaran relación con la liquidación del Rubro Salario por Producción, y que, frente al alza de precios, automáticamente se ajustaran al alza también los salarios, conforme los términos y condiciones que surgen del Anexo I”, precisa la propuesta.
EL SOMU NO LE INFORMÓ A LOS MARINEROS
CAPIP, CAPeCA y CEPA solicitaron a la autoridad laboral nacional que “se cite a las partes, a fin de continuar con la discusión de la temática en el ámbito de esta Secretaría Nacional de Trabajo, reservándonos la posibilidad de ampliar los argumentos y sustentos facticos y jurídicos de la propuesta formulada, en ese marco”. Asimismo, se dejó planteada la necesidad de mantener el mecanismo de pago contemplado legalmente frente a situaciones de crisis, como la que atraviesa el sector.
En términos generales, las cámaras proponen que el SOMU firme un acuerdo de similares condiciones a las que ya firmaron el Siconara y Capitanes en 2025.
Se propone un esquema de tres tablas proporcionales en función de los precios internacionales de mercado del langostino con valores de langostino entero en menos de USD6.000/tonelada; valores entre USD6.000/tn y USD7.500/tn; y valores superiores a USD7.500/tn.
Es decir, a modo de ejemplo, si la flota congeladora tangonera saliera a pescar con este acuerdo, hoy se aplicaría la tabla del medio porque el valor del langostino está por arriba de los 6.000 dólares la tonelada. La conducción del SOMU tiene disponible esta propuesta salarial desde el mes de enero, pero hasta ahora, no se la han transmitido a los marineros. Ahora, el Ministerio de Capital Humano ya está notificado que el sindicato recibió el ofrecimiento, sin que haya dado muestras, hasta el momento, de sellar un acuerdo que dé garantías a la actividad y proteja a miles de empleos.



